近期,地理学部遥感院程洁老师课题组在热红外遥感领域取得进展,三项研究成果发表在定量遥感权威刊物IEEE Transactions on Geoscience and Remote Sensing (IF:5.855)和Remote Sensing of Environment (IF:9.085)。
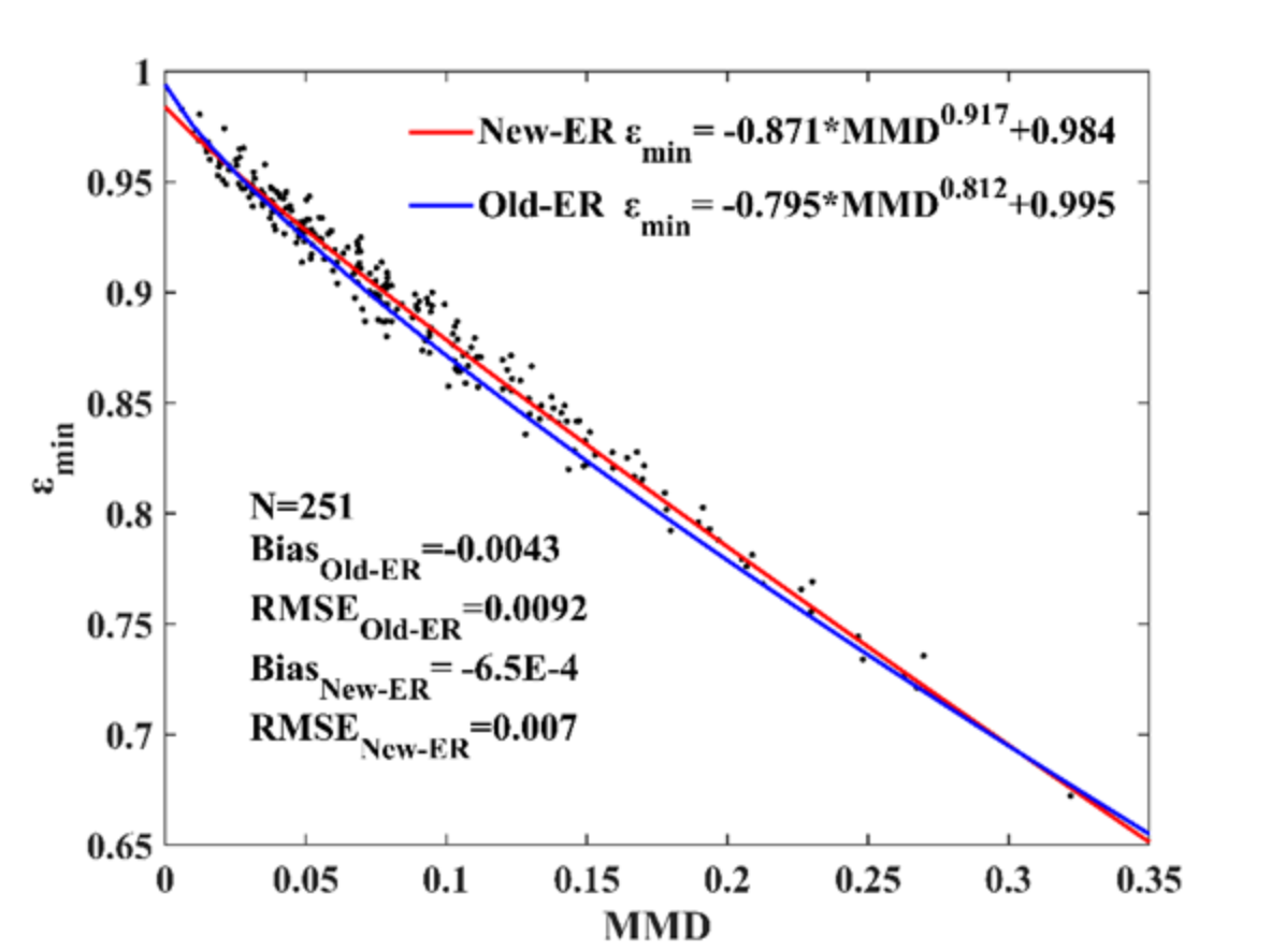
第一项研究题为“An Improved Temperature and Emissivity Separation Algorithm for the Advanced Himawari Imager”,发表在IEEE Transactions on Geoscience and Remote Sensing。温度与发射率分离是定量热红外遥感的核心问题。经典的工作来自ASTER地表温度与发射率产品反演算法,它的核心是大气校正和用于改进发射率初值的经验关系。该论文发展了适用于静止星的新的温度与发射率分离算法:改进了大气校正,使之能够适用于非灰体地表;使用辐射传输模型4SAIL模拟的冠层发射率光谱代替原来自光谱库的叶片光谱,拟合了新的经验关系(图1),提高了植被覆盖地表发射率反演精度。新方法用于从日本静止卫星葵花-8(AHI/H8)反演逐小时的地表温度与发射率,验证结果表明地表温度的偏差小于1K,均方根误差小于2K。与MODIS同类产品MYD21产品相比,一致性较好,偏差在1K以内,均方根误差在3K以内(图2);发射率的偏差在0.01以内。AHI/H8目前没有官方地表温度产品,该研究为生成葵花-8的地表温度与发射率提供一个可行的思路和解决方案。

图1
和MMD的经验关系 (Old-ER为原始经验关系, New-ER表示新的经验关系)。

图2 AHI(2016年1月3日,04:40UTC)和MYD21(2016年1月3日,04:45UTC)地表温度在澳大利亚北部的对比。(a) MYD21地表温度空间分布;(b) AHI的地表温度空间分布; (c) AHI和MYD21地表温度散点图;(d) 地表温度偏差分布直方图。
第二项研究题为“A new land surface temperature fusion strategy based on cumulative distribution function matching and multiresolution Kalman filtering”,发表在Remote Sensing of Environment。用户对于高空间分辨率、空间完整(无缝)地表温度产品具有强烈的需求。作者认为,融合由真实观测反演、具有优势互补的热红外和微波地表温度,是切实可行的实现路径。为此,基于前期发展的微波地表温度反演算法和降尺度算法,该研究提出了一种新的融合策略,融合改进的MODIS地表温度和反演的微波地表温度,获得中国区域1公里、无缝地表温度产品。图3展示的是生成的中国区域1公里、无缝地表温度,图4是对应的MODIS地表温度产品,两者具有一致的时空趋势。图5展示的是地面验证精度。该方法已用于生成中国区域2002-2020地表温度产品。

图3 由融合方法生成的2014年每个月15日白天的地表温度。

图4 2014年每个月15日白天的MODIS地表温度

图5 青藏高原和黑河观测站点的验证结果。MKF-MLST为1公里地表温度。
第三项研究题为“A framework for estimating cloudy sky surface downward longwave radiation from the derived active and passive cloud property parameters”,发表在Remote Sensing of Environment。云底温度控制云天地表下行长波辐射。由于热红外传感器无法穿透云,仅能获取云顶温度。云顶温度普遍用于估算云天地表下行长波辐射,因而具有较大的不确定性。该研究基于A-Train星座的提供的主被动观测数据(MODIS云属性参数,CALIPSO/CloudSat云厚参数),构建云属性特征参数数据库(包括:云厚和云光学厚度等),在全球尺度上建立云厚估算的经验模型(图6),结合MODIS云顶高和再分析温度廓线,得到云底温度,从而实现云天地表下行长波辐射的准确估算。基于SURFRAD站点的验证结果表明,该方法能够获的较好的云天地表下行长波辐射估算(图7)。该方法有力地支撑了GLASS长波辐射产品研发。

图6. 基于MODIS云类型的云厚模型测试精度

图7. 在SURFRAD上的云天地表下行长波辐射验证精度
上述工作的第一署名单位为杏吧视频 ,研究生周书贵、徐硕和杨锋分别为第一作者,程洁老师为通讯作者。相关研究得到了第二次青藏高原综合科学考察研究任务二专题六“亚洲水塔区水循环动态监测与模拟”子专题“亚洲水塔长时间序列全天候地表温度和发射率产品生成及时空特征分析”,国家重点研发计划课题“大气顶地球辐射参量气候数据集生成”,和国家自然科学基金“全天候高空间分辨率地表长波辐射遥感反演研究”的支持。更多详情请查阅原文:
Zhou, S., & Cheng, J. (2020). An Improved Temperature and Emissivity Separation Algorithm for the Advanced Himawari Imager. IEEE Transactions on Geoscience and Remote Sensing, 58, 7105-7124 (//ieeexplore.ieee.org/document/9051847).
Xu, S., & Cheng, J. (2021). A new land surface temperature fusion strategy based on cumulative distribution function matching and multiresolution Kalman filtering. Remote Sensing of Environment, 254, 112256 (//doi.org/10.1016/j.rse.2020.112256)
Yang, F., & Cheng, J. (2020). A framework for estimating cloudy sky surface downward longwave radiation from the derived active and passive cloud property parameters. Remote Sensing of Environment, 248, 111972 (//doi.org/10.1016/j.rse.2020.111972)