掌握事物的因果关系是人类改造世界以实现可持续发展的前提,也是人类世代好奇探索的主题。在大尺度地球科学系统研究中,由于控制实验难以开展,基于观测的时空数据表象推断内在的因果关系(即因果推断)成为主要方式。目前主流的因果推断方法包括结构因果模型、潜在结果框架和格兰杰因果检验,这些方法主要针对随机系统,假设变量随机分布且变量间信息可分离。然而在地球系统中,许多变量具有确定性趋势且相互交织耦合,给因果推断带来了困难。为解决地球科学动态系统的归因问题,国际学者基于复杂动态科学的Takens理论,研发了基于时间序列的因果推断方法——收敛交叉映射方法(Convergent Cross-mapping ,CCM,于2012年发表于Science期刊《Detecting Causality in Complex Ecosystems》),并得到了广泛的应用。CCM方法运行需要至少15期以上的时间序列数据,而在许多地球科学研究中,要么时间序列数据缺乏,要么在观测期内地学现象并未呈现显著的变化,使得CCM方法的应用受到很大局限。相比时间序列数据,地球系统的各类空间截面数据更加丰富,如何从丰富的空间截面数据中推断因果关系更为重要。
面对该需求,中国农业大学高秉博副教授与北京师范大学陈子悦副教授组织联合团队开展空间归因方法研究,研发了能够基于空间截面数据识别因果关系并估计因果效应的地理交叉收敛映射方法(Geographical Convergent Cross Mapping,GCCM)。并于2023年9月21日在Nature Communications期刊发表题为《基于地理交叉收敛映射方法从地球系统空间截面数据中推断因果关系Causal inference from cross-sectional earth system data with geographical convergent cross mapping》的论文。中国农业大学高秉博副教授为第一作者,中国农业大学杨建宇教授为共同第一作者, 杏吧视频 陈子悦副教授和中国科学院地理科学与资源研究所王劲峰研究员为共同通讯作者,美国加利福尼亚大学George Sugihara教授(著名的CCM模型( Sugihara et al. 2012. Science)的主要贡献者),南京大学李满春教授、香港中文大学关美宝教授、和荷兰国际航天测量与地球学学院(ITC)Alfred Stein教授为共同作者。
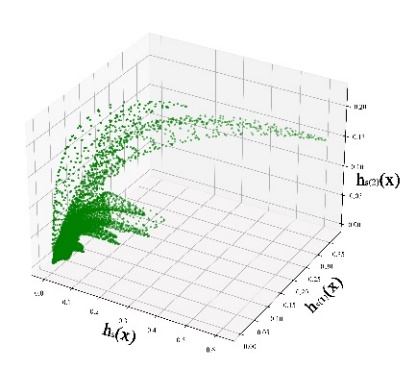
该研究创新性地提出基于空间滞后重建状态空间(图1),证明了重建方法的正确性,建立了基于状态空间交叉映射预测的空间因果推断方法及结果的显著性检验方法(图2)。GCCM方法主要用于复杂非线性系统的因果推断,能够在弱耦合关系中识别因果方向并估计因果效应,在强耦合关系中识别主导因果方向并估计因果效应,有效破解了空间统计方法难以识别因果方向的镜面效应难题。研究分别采用土壤重金属含量与工业和居民生活污染源(栅格数据)(图3)、中国县级人口密度与自然地理条件(多边形矢量数据)两个案例(图4),证明了方法在弱耦合关系和强耦合关系及不同空间数据类型中的因果推断能力;并采用中国耕地植被净初级生产力与气温和降水数据(图5),证明在时间序列因果推断方法失效时,基于空间差异的GCCM方法能够正确推断出因果关系。而基于统计学的相关性分析和先进的结构因果模型LiNGAM(Linear Non-Gaussian Acyclic Model)均不能有效识别案例中的因果关系及因果方向。
GCCM的理论设定适合众多具有确定性趋势和多个相互交织耦合变量的地球系统,且GCCM没有先验分布假设和预设模型结构,简单易用,为地学归因分析提供了一个值得尝试的新选择。
![]()

(a)栅格数据 (b)矢量多边形数据
图1.空间滞后

(a)可靠预测

(b)不可靠预测
图2. 状态空间交叉映射预测



(a)Cu (b)工业污染 (c)夜间灯光



(d)Cu-状态空间 (e)工业污染-状态空间 (f)夜间灯光-状态空间

(g)工业污染与Cu因果关系 (h)夜间灯光与Cu因果关系
图3. 土壤重金属污染因果推断案例(弱耦合、栅格数据)


(a)人口密度与降水因果关系 (b)人口密度与气温因果关系

(c)人口密度与海拔因果关系 (d)人口密度与坡度因果关系
图4. 县级人口密度案例(强耦合、多边形数据)

(a)农田NPP与降水因果关系 (b)农田NPP与气温因果关系
图5. 农田NPP因果关系案例
论文研究进一步指出,可以将GCCM与CCM结合,充分利用地学时空大数据同时从时间变化和空间差异角度出发进行因果推断,并可以将复杂动态系统方法与因果图结合,利用复杂动态系统方法识别因果方向的优势生成可信的因果关系网络,消减马尔科夫等价因果图数量,提升结构因果模型识别因果关系的稳健性。
论文链接:
//www.nature.com/articles/s41467-023-41619-6
引用格式:
Gao, B., Yang, J., Chen, Z. et al. Causal inference from cross-sectional earth system data with geographical convergent cross mapping. Nat Commun 14, 5875 (2023).